4.4 EMITTER-STABILIZED BIAS CIRCUIT
1. Tujuan
Mengetahui dan memahami Emitter-Stabilized Bias Circuit
Mampu menjelaskan prinsip kerja Emitter Stabilized
Bias Circuit
Mampu mengaplikasikan Emitter Stavilized Bias
Circuit pada rangkaian
2. alat dan bahan
1. Transistor NPN
Prinsip kerja dari transistor NPN adalah: arus akan mengalir
dari kolektor ke emitor jika basisnya dihubungkan ke ground (negatif). Arus
yang mengalir dari basis harus lebih kecil daripada arus yang mengalir dari
kolektor ke emitor, oleh sebab itu maka ada baiknya jika pada pin basis
dipasang sebuah resistor.
2. Resistor
Resistor merupakan komponen elektronik yang memiliki dua pin
dan didesain untuk mengatur tegangan listrik dan arus listrik. Resistor
mempunyai nilai resistansi (tahanan) tertentu yang dapat memproduksi tegangan
listrik di antara kedua pin dimana nilai tegangan terhadap resistansi tersebut
berbanding lurus dengan arus yang mengalir, berdasarkan persamaan hukum Ohm
3. Baterai
Baterai adalah perangkat yang terdiri dari satu atau lebih sel elektrokimia
dengan koneksi eksternal yang disediakan untuk memberi daya pada perangkat
listrik. Terminal bertanda negatif adalah sumber elektron yang akan mengalir
melalui rangkaian listrik eksternal ke terminal positif.
4. Amperemeter
Amperemeter adalah alat yang digunakan untuk mengukur kuat arus listrik yang ada dalam rangkaian tertutup. Amperemeter biasanya dipasang berderet dengan elemen listrik. Cara menggunakannya adalah dengan menyisipkan amperemeter secara langsung ke rangkaian.
3. dasar teori
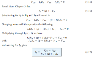
Rangkaian dc bias dapat dilihat pada fig.4,17 yang memiliki
emitter resistor yang berfungsi untuk menaikkan tingkat kestabilan dibandingkan
pada fixed-bias configuration.
Base-Emitter Loop
Base emitter loop pada rangkaian 4.17 dapat
ditulis/dirangkai ulang menjadi fig.418. dengan menuliskan hukum kirchoff
voltage law pada loop searah jarum jam maka akan dihasilkan persamaan.
Perbedaan antara persamaan diatas dengan fixed bias
configuration hanyalah terletak pada (B+1)Re
Pada rangkaian fig.4.19. Mencari nilai arus Ib akan
menghasilkan persamaan yang sama dengan diatas. Disamping dari tegangan emitter
Vbe, resistor Re dipantulkan balik ke rangkaian input base oleh faktor (B+1).
Selama B adalah 50 atau lebih, emitter resistor menjadi lebih besar pada base
circuit. Sehingga persamaanya menjadi
Pada base emitter circuit tegangan adalah vcc-vbe. Dan
resistansi adalah Rb + Rc sehingga dihasilkan persamaan yang sama dengan 4.17
Collector–Emitter Loop
Dengan menuliskan hukum kirchoff voltage voltage law dengan
loop searah jarum jam didapatkan
Contoh
Improved Bias Stability ( Meningkatkan Stabilitas Bias )
Ketika emitor resistor ditambahkan ke dc bias dari BJT
memberikan peningkatan stabilitas, yaitu ketika arus dan tegangan dc bias lebih
dekat ke tempat mereka ditetapkan oleh sirkuit ketika kondisi luar, seperti
suhu, dan transistor beta berubah.
Contoh
Perbandingkan tegangan bias dan arus dari sirkuit Gambar.
4.7 dan Gambar 4.22 untuk nilai yang diberikan 50 dan untuk nilai baru 100.
Bandingkan perubahan IC dan VCE untuk peningkatan yang sama di β.
Penyelesaian
Menggunakan hasil yang dihitung pada Contoh 4.1 dan kemudian
mengulangi untuk nilai β = 100 menghasilkan sebagai berikut:
Arus kolektor BJT terlihat berubah sebesar 100% karena
perubahan 100% pada nilai dari. IBis sama dan VCE menurun 76%. Menggunakan
hasil yang dihitung dalam Contoh 4.4 dan kemudian mengulangi untuk nilai 100,
memiliki yang berikut:
Sekarang arus kolektor BJT meningkat sekitar 81% karena
peningkatan 100% pada β. Perhatikan bahwa Ib menurun, membantu mempertahankan
nilai Ic — atau setidaknya mengurangi perubahan keseluruhan dalam Ic karna
perubahan pada β. Perubahan VCE telah turun menjadi sekitar 35%. Jaringan
Gambar 4.22 karenanya lebih stabil daripada Gambar 4.7 untuk perubahan yang
sama di β.
Saturation Level ( Tingkat Kejenuhan )
Tingkat saturasi kolektor atau arus kolektor maksimum untuk
desain bias emitor dapat ditentukan dengan menggunakan pendekatan yang sama
yang diterapkan pada konfigurasi bias tetap.
Terapkan hubungan pendek antara terminal kolektor-emitor
seperti yang ditunjukkan pada Gambar.4.23 dan hitung arus kolektor yang
dihasilkan. Untuk Gambar 4.23:
Penambahan emitor resistor mengurangi tingkat saturasi
kolektor di bawahnya diperoleh dengan konfigurasi bias tetap menggunakan
resistor kolektor yang sama
Tentukan arus jenuh untuk jaringan pada Contoh 4.4.
yaitu sekitar dua kali level ICQ untuk Contoh 4.4.
Load-Line Analysis (Analisi Garis Beban )
Analisis garis beban dari jaringan bias emitor hanya sedikit
berbeda dari itu ditemui untuk konfigurasi bias tetap. Tingkat IBas ditentukan
oleh Persamaan. (4.17) mendefinisikan level IBon pada karakteristik Gambar 4.24
(dilambangkan
Persamaan loop kolektor-emitor yang mendefinisikan garis
beban adalah sebagai berikut
Memilih IC = 0 mA memberi
seperti yang diperoleh untuk konfigurasi fixed-bias. Memilih
VCE 0 V memberi
Tingkat IBQ yang berbeda, tentu saja menaikkan Q-point ke atas atau menuruni garis beban.











Tidak ada komentar:
Posting Komentar